

Le cartucce filtranti pieghettate ad alto flusso serie HFA sono filtri a cartuccia ad alto flusso Pall Ultipleat sostitutivi, cartucce pieghettate di alta qualità prodotte da Hongtek. Il diametro esterno solitamente è di 6 pollici (152 mm). I filtri ad alto flusso possono essere realizzati senza nucleo o con nucleo centrale interno con gabbia rigida esterna, estremità singola aperta quando l'altra estremità è sigillata da un cappuccio terminale con O-ring.
Il flusso del liquido della cartuccia del filtro ad alto flusso va dall'interno verso l'esterno. Il design geometrico di grande diametro delle cartucce filtranti ad alto flusso pieghettate in polipropilene amplia l'area di filtrazione superficiale, rafforza la capacità di trattenere lo sporco per risparmiare quantità di cartucce filtranti e migliorare la portata quando l'efficienza di filtrazione supera il 99%. Le cartucce pieghettate ad alto flusso hanno un'ampia gamma di compatibilità chimica e applicazioni, che le rendono l'opzione ideale per i sistemi di filtrazione dell'acqua industriale ad alto flusso per proteggere la membrana RO.
| Filtra contenuti multimediali | Polipropilene (PP) pieghettato |
| Lunghezza | 20" (508 mm), 40" (1.016 mm), 60" (1.524 mm) |
| Diametro esterno | 6 pollici (152 mm) |
| Diametro interno | 73,5 mm |
| Grado di filtraggio | 1μm, 2μm, 3μm, 5μm, 10μm, 20μm, 40μm, 70μm, 100μm |
| Supporto/Drenaggio | Polipropilene (PP) |
| Materiale del cappuccio terminale | Polipropilene (PP) rinforzato con fibra di vetro |
| Fuori | Gabbia rigida e rigida, acciaio inossidabile (speciale) |
| Materiale della guarnizione | EPDM, Buna-N, Viton |
● La struttura gradiente dei pori dei filtri pieghettati ad alto flusso fornisce funzioni di filtro a strati
● La gabbia rigida esterna può sopportare pressioni più elevate rispetto ai filtri ad alto flusso realizzati con rete morbida
● La riduzione dello spazio del sistema di filtrazione potrebbe essere massimizzata al 50% in modo da ridurre i costi di manutenzione
● La portata più elevata delle cartucce pieghettate ad alto flusso potrebbe raggiungere 110 M³/H e una classificazione Beta 5000 (efficienza del 99,98%)
● Il modello di filtrazione dall'interno verso l'esterno dei filtri ad alto flusso garantisce il trattenimento di tutte le impurità rimaste all'interno del supporto pieghettato
● Le cartucce pieghettate ad alto flusso sono più economiche grazie all'elevata efficienza di filtrazione e ai minori costi di smaltimento dei rifiuti
● I materiali soddisfano i requisiti FDA con ampia compatibilità chimica, assenza di resine, leganti o adesivi e test di integrità al 100%
● Vernici e rivestimenti
● Microelettronica, film e resina
● Trattamento delle acque nella produzione di energia
● Prefiltrazione RO e dissalazione dell'acqua di mare
● Solventi, API e filtrazione dell'acqua in ambito Bio
● Acqua in bottiglia, alto contenuto di fruttosio, olio commestibile, bibite e latte
Dati operativi delle cartucce filtranti pieghettate ad alto flusso serie HFA
| Temperatura operativa massima | 180 °F a 20 psid (82 °C a 1,4 bar) |
| 160 °F a 30 psid (71 °C a 2,1 bar) | |
| 77 °F a 50 psid (25 °C a 3,4 bar) | |
| Flusso massimo d'acqua suggerito | Lunghezza 20 pollici: 660 LPM |
| Lunghezza 40 pollici: 1.300 LPM | |
| Lunghezza 60 pollici: 1.900 LPM | |
| Direzione del flusso del liquido | Dall'interno all'esterno |
| Area superficiale tipica | 3,5㎡ per cartuccia filtrante da 20". |
| 7㎡ per cartuccia filtrante da 40". | |
| 10,5㎡ per cartuccia filtrante da 60". | |
| Consiglia di modificare la pressione differenziale | 2,5 Bar a 20 ℃ |
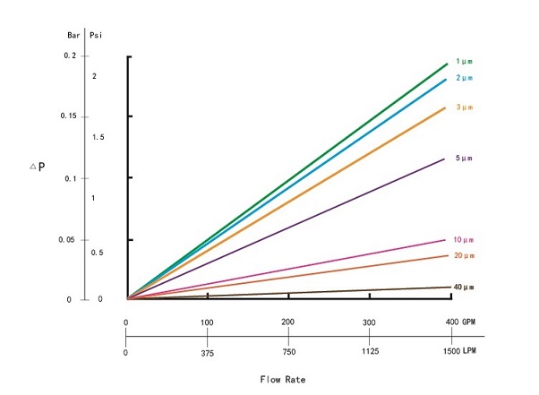
Tasso di caduta di pressione per cartucce filtranti pieghettate ad alto flusso serie HFA da 40".

Design per cartucce filtranti ad alto flusso

● Un potente team tecnico può aiutare a personalizzare gli speciali filtri pieghettati ad alto flusso
● Il design 3D di fascia alta mostra i vantaggi della sostituzione dei filtri ad alto flusso Pall Ultipleat con struttura
● Il design completo è molto importante per la ricerca, lo sviluppo e la produzione di cartucce pieghettate ad alto flusso
● Prestare la massima attenzione ad ogni dettaglio, progettare meglio per creare cartucce filtranti ad alto flusso di qualità superiore per il sistema di filtraggio dell'acqua
Installazione di cartucce filtranti pieghettate ad alto flusso

● Le cartucce filtranti ad alto flusso hanno uno schema di flusso dall'interno verso l'esterno, senza bypass e con una lunga durata
● Adatto per l'installazione di alloggiamenti per filtri in acciaio inossidabile verticali o orizzontali e alloggiamenti per filtri in plastica
● Gabbia rigida esterna per rendere la struttura stabile e l'integrità al 100%, è possibile aggiungere il nucleo interno quando necessario
● Portata elevata e basso delta di pressione, filtri con valore nominale o assoluto sono progettati per soddisfare i requisiti
● Ingombro ridotto e sistemi di filtraggio dell'acqua più economici, minori costi di manutenzione e smaltimento dei rifiuti
● Facile da installare e sostituire, risparmiando manodopera e costi di manutenzione, adatto per alloggiamenti di filtri standard internazionali
| HFA | Materiale | Lunghezza | Grado di filtraggio |
O-ring Materiale |
Interno (selettivo) |
|
Serie HFA Pieghettato ad alto flusso Cartucce filtranti |
P = PP pieghettato | 20 = 20"(508 mm) | 1 = 1μm | E = EPDM | C = Nucleo centrale in PP |
| 2 = 2μm | |||||
| 3 = 3μm | |||||
| 40 = 40"(1016 mm) | 5 = 5μm | B = Buna-N | |||
| 10 = 10μm | |||||
| 20 = 20μm | |||||
| 60 = 60"(1524 mm) | 40 = 40μm | V = Viton | |||
| 50 = 50μm | |||||
| 70 = 70μm | |||||
| 100 = 100μm |
Ad esempio:
HFA-P-40-5-E
Cartucce filtranti pieghettate ad alto flusso serie HFA - Materiale: polipropilene - Lunghezza = 40" - Grado di filtrazione = 5μm - Materiale O-ring = EPDM
È possibile personalizzare le cartucce pieghettate ad alto flusso con specifiche speciali, come nucleo centrale in PP, cappucci terminali speciali o gabbia esterna in acciaio inossidabile, ecc.